eg
Back to index
⚓⌘ Eg_gamma:
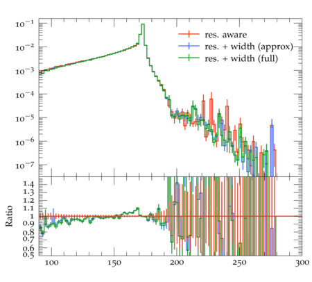
⚓⌘ truth_Eb:
⚓⌘ truth_Ebb:
⚓⌘ truth_Et:
⚓⌘ truth_Etb:
⚓⌘ truth_vt:
⚓⌘ truth_vtb:
⚓⌘ truth_yg_0_4_b:
⚓⌘ truth_yg_0_4_b_ktcut:
⚓⌘ truth_yg_0_4_bb:
⚓⌘ truth_yg_0_4_bb_ktcut:
⚓⌘ truth_yg_4_inf_b:
⚓⌘ truth_yg_4_inf_b_ktcut:
⚓⌘ truth_yg_4_inf_bb:
⚓⌘ truth_yg_4_inf_bb_ktcut:
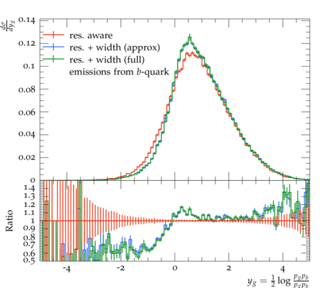
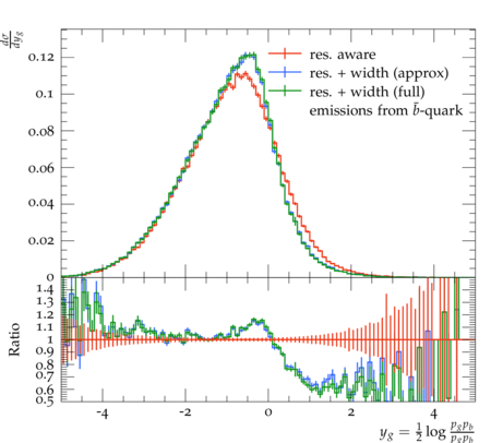
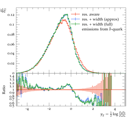
⚓⌘ truth_yg_b:
⚓⌘ truth_yg_b_ktcut:
⚓⌘ truth_yg_bb:
⚓⌘ truth_yg_bb_ktcut:
⚓⌘ yg_0_4:
⚓⌘ yg_0_4_ktcut:
⚓⌘ yg_4_inf:
⚓⌘ yg_4_inf_ktcut:
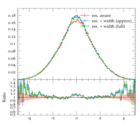
⚓⌘ yg_ktcut:
⚓⌘ yg_top:
⚓⌘ yg_top_0_4:
⚓⌘ yg_top_4_inf: